The unique properties of light have long inspired its use in biology and medicine — to explore living systems, remotely influence biological processes, or treat various diseases. To this end, the different pathways by which absorbed light energy is converted within a photoactive system — such as fluorescence emission, heat or acoustic wave generation, and photoinduced molecular reactions — can be harnessed, offering a wide range of opportunities for diagnostic and therapeutic applications. By tuning molecular design and supramolecular assembly, these processes can be finely optimized and/or effectively combined to develop innovative and high-performance systems.
In this context, the team Synthèse d’Architectures Moléculaires Photo-Actives (SAMPA) focuses on the design, synthesis, and multiscale study of systems incorporating light-responsive motifs, aimed at developing innovative approaches in health-related research. The team’s activities are broad, from the design of small photoactive molecules to the construction of supramolecular and self-assembled architectures using macrocycles and macromolecules, with the goal of optimizing the optical properties of these systems or imparting additional functionalities relevant to the intended applications.
The team’s research is organized around three main thematic areas, which include the synthesis and characterization of:
- Polyfunctional molecules for therapy and imaging
- Self-Assembled Systems
- Molecular Photoswitchs
Axe 1: Polyfunctional molecules for therapy and imaging
Researchers: Michel Boisbrun, Sandrine Lamandé-Langle, Nadia Pellegrini MoÏse
Rhodamine and cyanine-tagged bioactive molecules
We have tagged an in-house antiproliferative molecule (AB 186) which inhibits migration of triple-negative breast cancer cells and interacts with a-tubulin. Rhodamine-tagged AB 186 shows an intracellular and cytoplasmic localization, as the nuclei are not stained by rhodamine.
The antihypertensive drug losartan was tagged with Cyanine-3 via a PEG linker. To our great satisfaction, the resulting compound showed as high affinity as the parent compound losartan towards angiotensin 1 receptor (AT1), together with very high selectivity towards AT2, contrary to the endogenous agonist angiotensin II. This is the very first reported fluorescent antagonist of this receptor involved in blood pressure regulation.
Cyanine-based dual imaging probe
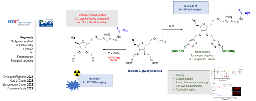
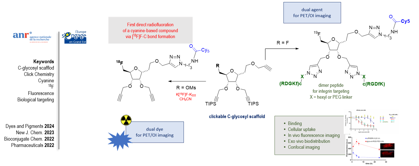
We have developed an innovative synthesis of radiofluorinated and fluorescent probes, allowing the insertion of one or two targeting vectors at the final step of the synthesis, providing a versatility. Two types of C-glycosidic derivatives (glucopyanose and ribofuranose), with different configurations and ring sizes, were used as organizing platforms to introduce the cyanine-5 and cyanine-7 fluorophore and the fluorine-18 atom. A peptidic vector, c(RGDfK), targeting integrins (receptors overexpressed on tumors), was chosen to carry out the biological tests in vivo and in vitro.
Photoactive Dimers of Cy7
Projets :
Maturation SATT-Sayens 2026-2028 (coord. S Lamandé-Langle, N. Pellegrini Moïse, S. Selmeczi)
Pré-maturaration SATT-Sayens 2023-2024 (coord. S Lamandé-Langle, N. Pellegrini Moïse)
ANR Glycotool (2024-2028, coord. S. Lamandé-Langle)
FEDER Firelight 2018-2023 (coord. A. Pasc)
Axe 2: Self-Assembled Systems
Researchers: Yann BERNHARD, Maxime MOURER, Andreea PASC, Jean-Bernard REGNOUF DE VAINS
Dye-loaded Nanoparticles
Projects:
FEDER Firelight (2018-2023, coordination: A. Pasc)
ANR CD-Mix (2024-2028, coordination: Y. Bernhard)
LUE UR-NINJA (2023-2025, coordination: Y. Bernhard)
MITI-CNRS DICG (2022-2024, coordination: Y. Bernhard)
Multichromophoric Systems and Photoactive channels
Projects:
FEDER Firelight (2018-2023, coordination: A. Pasc)
ANR ChanPulse (2024-2028, coordination: A. Pasc)
Polymeric Molecular Fluorescent Thermometer
Projects:
CDUL Nanolighters (2022-2025, coordination: Y. Bernhard)
Axe 3: Molecular Photoswitchs
Researchers: Yann BERNHARD, Maxime MOURER, Andreea PASC, Michel BOISBRUN
Biomimetic Photoswitches & Photolipids
Projects:
FEDER Firelight (2018-2023, coordination: A. Pasc)
LUE Immunopass (2022-2026, coordination: A. Pasc)
ANR Cornerstone (2022-2027, coordination: N. Guiseppone)
Inserm PCSI Interlight (2023-2025, coordination : M. Boisbrun)
Photo-induced synthesis of fused polyheterocycles